El nitrógeno (N) es un elemento fundamental para la vida, participando en la composición de moléculas orgánicas esenciales como los aminoácidos, que a su vez forman las proteínas, y los nucleótidos, componentes del ADN y ARN. En el organismo humano, el nitrógeno constituye aproximadamente el 3% del peso corporal y es un componente clave de compuestos de gran jerarquía biológica con funciones vitales.
Importancia del Nitrógeno en la Materia Viva
A diferencia del carbono, hidrógeno y oxígeno, que están presentes en todos los compuestos biológicos, el nitrógeno se encuentra específicamente en ciertas biomoléculas. El nitrógeno atmosférico (N2), abundante pero inerte debido a su triple enlace, debe ser "fijado" para ser utilizable por los organismos. Este proceso comienza con la amonificación, donde el N2 se reduce a amoníaco (NH3) por acción de microorganismos y descargas eléctricas. Posteriormente, las bacterias nitrificantes oxidan el amoníaco a nitritos (NO2-) y nitratos (NO4=). Los vegetales asimilan estas formas oxidadas, incorporando el nitrógeno a estructuras biológicas como aminoácidos y proteínas, permitiendo así su entrada en la cadena alimentaria.
Metabolismo de Compuestos Nitrogenados: Un Pilar de la Bioquímica
El estudio del metabolismo de los compuestos nitrogenados abarca un área extensa de la bioquímica. Este material se centra en el metabolismo de las proteínas y aminoácidos, así como en el metabolismo de los nucleótidos. Además, se abordan las enfermedades relacionadas con alteraciones en el metabolismo de compuestos nitrogenados, como la ictericia, que puede ser causada por desregulaciones en el metabolismo de la bilirrubina, el amoníaco y otros compuestos bioquímicos.
Glosario de Términos Clave
Para facilitar la comprensión de estos complejos procesos, se presenta un glosario detallado de términos científicos relevantes:
- Abdomen: Cavidad inferior del cuerpo humano dividida por el diafragma, que contiene órganos digestivos como el hígado, páncreas, estómago, intestinos, bazo y riñones, además de la pelvis con la vejiga urinaria y órganos reproductores internos.
- Ácido desoxirribonucleico (ADN o DNA): Uno de los dos principales tipos de ácidos nucleicos, formado por cadenas de desoxirribonucleótidos monofosfato. Sus dos cadenas, complementarias y antiparalelas, forman una doble hélice unida por puentes de hidrógeno entre bases nitrogenadas (guanina-citosina, adenina-timina). La secuencia de bases contiene la información genética.
- Ácido nucleico: Compuesto polimérico de alto peso molecular formado por nucleótidos. Participa en el almacenamiento de energía y la transmisión de características genéticas.
- Ácido úrico: Compuesto nitrogenado resultante del metabolismo de las proteínas.
- Acolia: Disminución o suspensión de la secreción biliar.
- Afección: Estado morboso o enfermedad.
- Aglutinina: Anticuerpo que provoca la aglutinación de células.
- Aglutinógeno: Sustancia antigénica que induce la producción de aglutininas.
- Albúmina: Tipo de proteína simple, soluble en agua, coagulable por el calor. Es un componente importante de la alimentación y se encuentra en la clara de huevo, leche, músculo y plasma sanguíneo.
- Alcoholismo: Enfermedad crónica causada por la ingestión excesiva de alcohol etílico, caracterizada por dependencia y daño cerebral progresivo.
- Alivio: Sensación subjetiva de mejoría de los síntomas de una enfermedad.
- Aminoácido: Sustancia orgánica compuesta por grupos amínicos y carboxílicos. De los 20 aminoácidos que forman las proteínas, 8 son esenciales y deben ser ingeridos con la dieta.
- Amoníaco: Compuesto tóxico (NH3) formado en el organismo por la desaminación oxidativa y otras reacciones. Su acumulación puede dañar el tejido nervioso.
- Anasarca: Edema masivo y generalizado.
- Anemia de células falciformes (anemia drepanocítica): Proceso hereditario donde la hemoglobina está alterada, causando interrupciones circulatorias. Afecta principalmente a personas de raza negra.
- Anemia hemolítica intracorpuscular: Se debe a anomalías en los hematíes que los vuelven frágiles y autodestructibles. A menudo es hereditaria.
- Bases nitrogenadas: Compuestos cíclicos derivados de la purina o pirimidina (adenina, guanina, timina, citosina, uracilo). Forman parte de los nucleósidos y nucleótidos.
- Bazo: Órgano situado en la parte superior izquierda del abdomen, involucrado en la producción de células sanguíneas y la respuesta inmune.

Equilibrio Nitrogenado
En el ser humano, el nitrógeno se obtiene principalmente de las proteínas de la dieta. A diferencia de carbohidratos y grasas, las proteínas no se almacenan como reserva, por lo que sus niveles celulares se regulan por el equilibrio entre anabolismo y catabolismo (recambio proteico). Un adulto sano con una dieta equilibrada mantiene un equilibrio nitrogenado, donde el nitrógeno ingerido se iguala al excretado. Sin embargo, pueden ocurrir desequilibrios:
Equilibrio Nitrogenado Negativo
Se excreta más nitrógeno del que se ingiere. Ocurre en situaciones como:
- Inanición y desnutrición proteica.
- Senectud.
- Fiebre severa.
- Diabetes no controlada.
- Neoplasias avanzadas.
- Período post-quirúrgico.
- Traumatismos y quemaduras extensas.
- Sepsis e infecciones.
Durante la inanición prolongada, las cadenas carbonadas de los aminoácidos se utilizan para gluconeogénesis, y el amoníaco liberado se excreta como urea. El catabolismo aumentado en neoplasias también contribuye a este desequilibrio.
Equilibrio Nitrogenado Positivo
Se ingiere más nitrógeno del que se excreta. Ocurre en:
- Niñez (crecimiento y desarrollo).
- Embarazo.
- Período post-inanición y recuperación nutricional.
La determinación del balance de nitrógeno es un parámetro útil para evaluar el catabolismo, las deficiencias o excesos de proteínas en la dieta y el estado nutricional del paciente.

Metabolismo de Proteínas y Aminoácidos
Alimentación, Digestión y Absorción
Requerimiento de proteínas: El requerimiento diario de proteínas varía según la edad y el estado fisiológico. Un adulto necesita 0.8 g/kg/día. Las necesidades aumentan en embarazadas, lactantes, niños, adolescentes y en condiciones de catabolismo elevado.
Alimentos ricos en proteínas: Los de origen animal (carnes, huevos, leche) suelen tener alto valor biológico por su contenido de aminoácidos esenciales. Los de origen vegetal, como la soja, también son importantes fuentes proteicas.
Digestión: La hidrólisis de proteínas comienza en el estómago con la pepsina y continúa en el duodeno con enzimas pancreáticas (tripsina, quimiotripsina, elastasa) y exopeptidasas intestinales (carboxipeptidasa, aminopeptidasa), degradando las proteínas hasta aminoácidos libres, di- y tripéptidos.
Absorción: Los productos finales de la digestión proteica son absorbidos por los enterocitos mediante cotransporte activo con Na+ (aminoácidos neutros, aromáticos, alifáticos, fenilalanina, metionina, aminoácidos ácidos y prolina) o por difusión facilitada (aminoácidos básicos y neutros hidrófobos). Los di- y tripéptidos son transportados por sistemas propios y escindidos intracelularmente. Los aminoácidos liberados pasan a la sangre portal y se distribuyen en el organismo, con preferencia por el músculo (ramificados) o el hígado (no ramificados).

Aminoácidos Esenciales y No Esenciales
El organismo humano puede sintetizar 11 de los 20 α-aminoácidos necesarios para la síntesis de proteínas. Los restantes 9 son aminoácidos esenciales, que deben ser aportados por la dieta.
Metabolismo de Aminoácidos
Los aminoácidos dietéticos (exógenos) se combinan con los liberados de la degradación de proteínas endógenas y los sintetizados de novo, formando un "pool de aminoácidos" circulante. Las células utilizan este pool para la síntesis de proteínas y otros compuestos nitrogenados no proteicos. Los aminoácidos en exceso, al no poder almacenarse, se degradan para obtener energía o se excretan.
Catabolismo de Aminoácidos
La degradación de aminoácidos generalmente se inicia con la desaminación (separación del grupo α-amino). El grupo nitrogenado se elimina como amoníaco, excretado principalmente como urea. El esqueleto carbonado sigue diversas rutas, pudiendo ser oxidado en el ciclo de Krebs para producir energía, o ser precursor de glucosa (aminoácidos glucogénicos) o de cuerpos cetónicos y ácidos grasos (aminoácidos cetogénicos).
Reacción de Transaminación
La transaminación es la transferencia reversible de un grupo α-amino de un aminoácido a un α-cetoácido, catalizada por enzimas llamadas aminotransferasas o transaminasas. Estas enzimas, que requieren piridoxal fosfato (vitamina B6) como coenzima, son cruciales tanto para el catabolismo como para la biosíntesis de aminoácidos. Ejemplos importantes incluyen la glutámico oxalacético transaminasa (GOT/AST) y la glutámico piruvato transaminasa (GPT/ALT), cuyas concentraciones en plasma son indicadores de daño hepático o miocárdico.

Desaminación Oxidativa
La desaminación oxidativa, a menudo involucrando el par L-glutamato/α-cetoglutarato, es otra vía importante para la eliminación del grupo α-amino, liberando amoníaco.
Metabolismo de Compuestos Nitrogenados y Enfermedades
Las alteraciones en el metabolismo de los compuestos nitrogenados pueden dar lugar a diversas patologías. La ictericia, por ejemplo, puede ser un síntoma de disfunciones en el metabolismo de la bilirrubina, el amoníaco u otros compuestos bioquímicos. Enfermedades como la sickle cell anemia (anemia de células falciformes), cirrosis hepática, hepatitis B y coledocolitiasis están asociadas a alteraciones metabólicas que pueden manifestarse con ictericia.
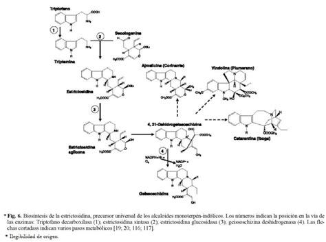
Metabolismo Secundario: Alcaloides Bencilisoquinolínicos (ABI)
Los alcaloides, una vasta clase de compuestos nitrogenados de bajo peso molecular (aproximadamente 21,000 compuestos identificados en plantas), presentan una gran diversidad estructural y actividad biológica. Muchos de ellos, como la vincristina y el taxol, son fármacos anticancerígenos, mientras que otros, como la morfina, son potentes analgésicos.
Biosíntesis de Alcaloides Bencilisoquinolínicos (ABI)
La biosíntesis de los ABI es un proceso complejo que involucra múltiples enzimas y compartimentalización celular. Se puede agrupar artificialmente en tres etapas:
- Producción del precursor central, (S)-norcoclaurina, a partir de L-tirosina.
- Transformación de (S)-norcoclaurina a (S)-reticulina, el intermediario principal de diversificación.
- Rutas de diversificación que originan los diferentes tipos de ABI.
En la biosíntesis de ABI participan 43 enzimas, incluyendo oxidorreductasas (destacan las dependientes de citocromo P450 - CYP), transferasas (metiltransferasas) y liasas (TYDC, NCS). La enzima norcoclaurina sintasa (NCS) se ha relacionado con proteínas alergénicas de defensa (PR10).

Compartimentalización y Regulación de la Biosíntesis de ABI
Un aspecto crucial en la biosíntesis de ABI es la compartimentalización de las rutas. Las enzimas, cofactores y sustratos se localizan en sitios celulares o tisulares específicos, lo que optimiza las reacciones, permite el funcionamiento simultáneo de vías competitivas y confina metabolitos tóxicos. En plantas como Papaver somniferum, la biosíntesis y acumulación de alcaloides ocurren en diferentes tejidos (tallos, raíces) y células (laticíferas, elementos cribosos, células acompañantes, parénquima, periciclo), sugiriendo mecanismos de transporte intra e intercelular de precursores y productos.
La expresión y regulación de los genes implicados en la biosíntesis de ABI son áreas de investigación activa. La caracterización de ADN complementarios de enzimas ha permitido avances en la comprensión de la regulación molecular de estas rutas.
¿Qué son los alcaloides?
Metabolismo Nitrogenado en Bacterias Anaerobias
Las bacterias anaerobias desempeñan un papel fundamental en los ciclos biogeoquímicos, incluyendo la degradación de materia orgánica y la obtención de energía en ausencia de oxígeno. Sus procesos metabólicos contribuyen a la sostenibilidad de la vida en el planeta.
Procesos Metabólicos de las Bacterias Anaerobias
El metabolismo fermentativo de las bacterias anaerobias se divide en tres etapas principales:
- Hidrólisis y Fermentación: Descomposición de polímeros orgánicos insolubles (celulosa, proteínas) en moléculas solubles simples (ácidos grasos, alcoholes) mediante enzimas hidrolasas. Se produce hidrógeno y dióxido de carbono.
- Acetogénesis: Producción de ácido acético a partir de la oxidación de ácidos grasos de cadena corta o alcoholes, o por reducción de CO2 con hidrógeno.
- Metanogénesis: Realizada por arqueas, que convierten sustratos específicos en metano.
Digestión Anaerobia y Biogás
La digestión anaerobia produce una mezcla gaseosa conocida como biogás, compuesta principalmente por metano (50-70%) y dióxido de carbono (30-50%), con pequeñas cantidades de otros gases. Este proceso es esencial para la descomposición de materia orgánica en ambientes sin oxígeno.
Factores que Condicionan el Metabolismo Bacteriano
El desarrollo y actividad de las bacterias anaerobias dependen de factores físicos y químicos como:
- Cargas de materia orgánica.
- Ácidos grasos volátiles.
- Temperatura (mesófilos, termófilos).
- Alcalinidad y pH (óptimo entre 6.5-7.5).
- Nutrientes (N, P, S, C).
Bacterias Sulfatorreductoras
Organismos anaerobios que utilizan sulfatos como aceptores finales de electrones en la respiración. Se encuentran en ambientes anóxicos ricos en sulfatos, como suelos, lodos y aguas salobres, contribuyendo a la degradación de materia orgánica.

tags: #compuestos #nitrogenados #procedentes #del #metabolismo #secundario